“Yüzyılın Konut Projesi” kapsamında Kütahya’da yapılacak 3 bin 592 TOKİ konutunun hak sahipleri kura çekimiyle belirlendi. Kura sonuçlarının açıklanmasının ardından vatandaşların merak ettiği satış fiyatları ve ödeme planları da ortaya çıktı.
Paylaşılan listede konutların satış bedellerinin 2 milyon 883 bin TL ile 3 milyon 707 bin TL arasında değiştiği görülüyor. Projede daireler için %10 peşinat ve 240 ay (20 yıl) vade uygulanacak.
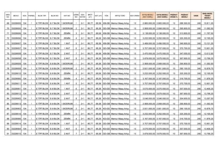
TOKİ konutlarında örnek satış fiyatları
Kura listesinde yer alan bazı dairelerin fiyatları şöyle:
-
2.883.000 TL satış bedeli – 288.300 TL peşinat
-
2.958.000 TL satış bedeli – 295.800 TL peşinat
-
3.138.000 TL satış bedeli – 313.800 TL peşinat
-
3.252.000 TL satış bedeli – 325.200 TL peşinat
-
3.499.000 TL satış bedeli – 349.900 TL peşinat
-
3.707.000 TL satış bedeli – 370.700 TL peşinat
-
3.575.000 TL satış bedeli – 357.500 TL peşinat
-
3.679.000 TL satış bedeli – 367.900 TL peşinat
-
3.167.000 TL satış bedeli – 316.700 TL peşinat
-
2.901.000 TL satış bedeli – 290.100 TL peşinat
Bu konutlarda kalan tutar ise 240 ay vadeli taksitlerle ödenecek. Taksitler ise TOKİ uygulamasında olduğu gibi memur maaş artış oranına göre güncellenecek.
2+1 daireler ağırlıkta
Projede yer alan dairelerin büyük bölümünü 2+1 tipindeki konutlar oluşturuyor. Ortalama büyüklükleri yaklaşık 86-87 metrekare brüt olan dairelerin farklı kat ve bloklarda satışa sunulduğu görülüyor.
Kütahya’da TOKİ yatırımı büyüyor
Yetkililer tarafından paylaşılan bilgilere göre Kütahya’da bugüne kadar TOKİ tarafından 15 bin 919 konut vatandaşlara teslim edildi.
Kent genelinde yapılan yatırımların toplam tutarının ise yaklaşık 65,5 milyar liraya ulaştığı belirtildi.





